对于射频人来说,电磁波是我们最熟悉的高科技了。借用百科的定义:电磁波是由同向且互相垂直的电场与磁场在空间中衍生发射的震荡粒子波,是以波动的形式传播的电磁场,具有波粒二象性。由同相振荡且互相垂直的电场与磁场在空间中以波的形式移动,其传播方向垂直于电场与磁场构成的平面。电磁波在真空中速率固定,速度为光速。

但是,电磁波的发现历程却极其艰难,今天我们一起来探索一下电磁波背后的故事。
平行的电和磁
那我们知道,电磁波是一种客观存在的物质形态,不以人的主观意志来改变的一种真实的物质,是波的一种。为什么很难被发现呢?主要是因为它的不可见,不可感觉。人们总是对能感觉到的东西比较感兴趣,发现也比较早,比如光波,比如声波。然而电磁波却无声无息,无色无味。但是它却客观存在。

人们在很早很早的时候,就发现了磁,黄帝时代就有了指南车。很早很早的时候发现了电,古希腊人利用毛皮摩擦琥珀发现了电,还有自然界中的闪电。但长久以来,电和磁作为两种物质形态存在,近乎平行线的发展,似乎永远没有交集。

那么为什么电和磁能够分别被发现呢?答案还是因为人的感官,人能够看到小磁针的旋转,也能够看到闪电的火光。
在西方,关于磁的研究则首推英国医生吉尔伯特,正是他的工作使整个磁学由经验转变为科学。看来世界真是由不务正业的人推动前进的。1600 年出版的《论磁》,通过详尽的实验来检验复杂的磁理论。关于吉尔伯特的介绍,请移步今日推出的《吉尔伯特与论磁》查看阅读。
作为平行线的另一条线----电。尽管人们很早很早就发现了闪电,也发现了日常生活中的电现象:比如梳子梳头之后能够吸引碎纸屑。但是真正里程碑的研究成果是富兰克林的风筝实验。(请勿模仿,外国人人少是有原因的)

富兰克林的故事,请移步今天的另一条推文《牛人富兰克林》。
富兰克林通过实验得出:
电荷分为正电荷和负电荷。
摩擦起电的过程中,形成等量的异种电荷,且一方失去的电荷等于另一方得到的电荷;
电荷守恒,即电荷既不能被创生,也不会被消灭,只能从一个带电物体转移到另一个带电物体,且总量保持不变;
电和磁的火花
1800 年之后,由于各种机缘巧合,电和磁从两个平行的发展轨迹慢慢走向交叉,携手前进。当电磁波一旦被发现,他所爆发的巨大威力是此前无法想象的。人类首先在电磁波内加入了自己需要的信息----电报发明出来了。后来人类掌握了控制电子的技术,于是发明了半导体,直至芯片,由此电视,电话,计算机乃至无线电技术,一个谁都无法控制的信息时代正如海啸,波涛汹涌扑面而来。在 5G 时代,智能时代,电磁波的应用将会更加广泛深入。
电和磁交汇的第一件大事是丹麦哥本哈根大学教授奥斯特于 1820 年 7 月发布的一个细小的发现:在电流线周围,小磁针发生了环形偏转。

任何伟大的发明都是在不经意间完成,像牛顿的苹果,弗莱明的青霉素。但是,其实这种现象很多人可能都遇到过,但是幸运女神只眷顾一个有准备的人。正由于对实验结果的不可思议,奥斯特本人特别小心谨慎,从 1820 年 4 月到 7 月之间反反复复做了 60 多次的实验,其中包括用纸片搁置在电流和小磁针之间,企图阻断他们之间存在的这种神秘的力,都未获得成功。最终在 1820 年 7 月 21 日,奥斯特发表了《关于磁针与电流“碰撞”的实验》这篇著名论文。

奥斯特实验的重要意义是发现了电可以产生磁,由此彻底结束了电与磁分裂的局面。电和磁两者第一次在奥斯特的实验中相遇。值得注意的是,这一工作之所以出现在 1800 年之后,还有一个不可忽视的原因:在这一时期,人们才掌握大功率电源技术,能够产生足够强大的电流,以使其比地球磁场大得多,由此也可以看出生产力对于科学发展的刺激和影响。
那时候的中国还处于第一次鸦片战争前夕,康乾盛世末期。所以对于现代科学的起步,我们只能一声叹息。愿吾辈努力,不再落后。
我们莫小看这个小小的“偏转”,它与法拉第关于电磁领域的深邃思考密切相关,由于这一改进,20 世纪最重要的物理学概念之一---“场”凸显出来了,而奥斯特却与它擦肩而过。有时候真的,遗憾与幸运并存。在法拉第的头脑中,电流所产生的是磁场,它在电流周围的空间四处弥漫。接着,法拉第进一步提出了先进的场力线的概念。

法拉第毫不怠懈,他反复思考:既然电能够产生磁,那么为什么磁不能产生电呢?他的思想深刻而简单,他的实验奇妙而直接:即希望由磁铁构成的回路中产生电流。从 1821 年到 1831 年,在法拉第人生最富有创造力的十年(30 岁到 40 岁),经历了无数的失败。突然有一次他们磁铁向空气线圈猛然一插,竟然使电流表的指针发生了偏转,从而发明了磁的时间变化可以产生电。

所以,研发的兄弟,不要怕失败,不要怕 bug,任何一个细小的突破都可能改变你对现有技术的认知。
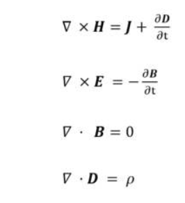
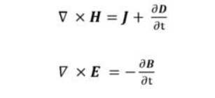
后人把奥斯特和法拉第的工作总结为如下两个方程:

至此,电和磁终于实现了第一次握手 —— 电可以产生磁,而磁又可以产生电。
麦克斯韦方程组的确立
第三件大事无疑是天才麦克斯韦的出现。天才麦克斯韦十岁进入中学,16 岁进入大学,19 岁转入剑桥大学,23 岁毕业不久即当选教授。一个命运巧合的是,麦克斯韦的出生与法拉第的实验刚好是同一年--1831 年。

扎实的物理基础和对事业的非凡热爱促使麦克斯韦有一个宏大的心愿 —— 把法拉第的场概念和思想精确化,数学化。
1860 年,29 岁的麦克斯韦带着初步成果《论 Faraday 的力线》,白捡了年近古稀的法拉第,后者对于麦克斯韦大加赞赏,法拉第说:我不认为自己的学说一定是真理,但你是真正理解她的人。并进一步鼓励麦克斯韦:这是一篇出色的文章,但你不应该停留在用数学来解释我的观点,而应该突破它。

我们在享用前辈们的成果的时候,不得不感谢他们的伟大,他们的无私奉献。
另一方面,作为数学文化底蕴不深的法拉第,一辈子从事科学实验的法拉第,也不无担心的提出了他的担忧:生怕数学掩盖了电磁的物理实质。事实证明,麦克斯韦不仅没有辜负法拉第的期望,而且真正的把电磁推向了理论高峰。
上面所说的麦克斯韦真正理解法拉第,其内在含义极其深刻:
法拉第把电和磁放到全部空间去研究,并引入了场和力线的概念,这就为数学表达提供了施展本领的广阔舞台 ——
旋度:

散度:

和梯度:

等空间变化的函数的引入就成为必然。场看不见摸不着,但却是在潜移默化中起关键作用。
法拉第首次提出在电磁领域,电和磁构成一对矛盾体,且有矛盾转化,即电可以产生磁,磁也可以产生电。显然,他使电磁物理登上了新的高度。
法拉第第一次否定了中心力,取而代之的是电磁力的相互转化。众所周知,力学中万有引力就属于典型的中心力,但电磁转化则是环形相套。
如果说麦克斯韦只是简单的把法拉利,奥斯特,安培的发现总结出数学公式,那远远不足以证明其伟大。如果这样就可以的话,我也可以彪炳千古。
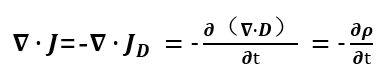
麦克斯韦最伟大的发现是他发现了位移电流

,或者说他发明了位移电流。即麦克斯韦方程组,方程式 4 中的。

麦克斯韦作为一个才华横溢的青年学者,他所做的不仅仅是真正理解和吸收法拉第思想的精华,而且取得了重大突破。麦克斯韦说过:从欧几里得的直线到法拉第的力线,这是使科学得以向前推进的一些思想的特征。麦克斯韦首先发现了安培和法拉第的转化完全不对称。

简而言之,安培发现的是源(电流 J)产生磁场,而法拉第则是场的变化产生场。很可能正是由于麦克斯韦细心而深刻的比较,使他发现了电容电路中电流的不连续性 —— 外电路有电流,而电容中却没有电流。

于是,麦克斯韦由此提出了崭新的位移电流设想,即磁场的旋度除了对应传导电流密度外,还有位移电流密度

,唯有这样,才能保证电流的连续性定理:

其中位移电流

进而:

相应的麦克斯韦方程组最重要的两个方程得出:

他们真正构成了时间与空间的双向变化,前面所提及的法拉第的担忧完全成了多余。麦克斯韦所推导出的电磁规律 —— 麦克斯韦方程组不仅准确统一的表述了奥斯特,安培,法拉第和高斯等提出的实验定律,而且有了全面系统的升华和提高。
关于麦克斯韦方程组的详细介绍,请移步小木匠带大家读麦克斯韦方程组进行学习。
麦克斯韦方程组的重要意义在于:
提出了位移电流之后所构成的麦克斯韦方程组清楚的表明:有电场可以转化为磁场,由磁场也可以转化为电场,并且实现了时间变化和空间变化的相互转化统一。
正是电场和磁场之间的相互转化,时间和空间的相互转化产生了电磁波的坚实基础,电场和磁场在空间和时间上环环相扣,可以脱离介质传播,也实现了电磁波和光的统一。
麦克斯韦正式预言了电磁波,并且指出了电磁波的速度即使光速 —— 很自然的会产生光与电磁波的统一学说。

特别是麦克斯韦充分发挥他的数学专长,由无源条件下推导出了波动方程:


电磁波的证实
麦克斯韦只是预言了电磁波的存在,但是证实电磁波的真实存在却落在了一个德国青年物理学家的身上 —— 赫兹。至此,电磁学三巨头终于到位,影响历史的关键时刻就要到来。

从 1886 年到 1888 年间,赫兹做了一系列的实验产生电磁波,并且证明了电磁波与光完全相似,有反射,折射,绕射和偏振极化等重要特性。


站在巨人的肩膀上的现代人看来,赫兹实验仅仅是简单的 LC 振荡电路和极尽的电火花通信,这完全不足为奇。但是,在当时却轰动了学术界:因为正是这一实验用事实证明了麦克斯韦的伟大预言。至此,人们不仅预言了电磁波,最终还发现了电磁波。
人类进入无线时代。

随着 5G 的建设,人类将进入万物互联的智能时代。感恩前辈们的奉献。
那么至此,电磁波发现之旅是否已经完结?No,麦克斯韦方程的不对称性依然存在,像一块心病困扰无数科学家 —— 磁荷和磁流 —— 是否真的存在?如果真的存在,那又会如何改变我们的生活?
注释:文章原载于 2020 年【射频学堂】前身【5G 射频圈儿】公众号,今天重新编辑发表。
本文来自微信公众号:射频学堂 (ID:RF_Center),作者:RF 小木匠