1. 单直波导耦合微环 (单边微环谐振器)基本原理
光波导与微谐振器之间的耦合正在成为一个重要的研究和发展领域。为了分析波导和谐振器之间的光功率交换,我们考虑了图1的基本几何形状。它由光波导和环形谐振器之间的无损耗耦合组成。耦合的性质对于我们的通用分析并不重要。

图1 单直波导耦合微环(单边微环谐振器)基本模型
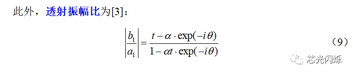
在谐振腔单向模激发和耦合无损耗的条件下,可以用矩阵关系来描述相互作用[1,2]。

本文中 不需要的具体形式 , 这取决于所采用的特殊耦合机制 , 将在今后的出版物中探讨若干不同的方案 。下面,我们将选择输入波a l =1,以便所有场振幅将归一化为a 1 。光在微环中的传输由下式给出:






2. 微环谐振腔重要技术指标
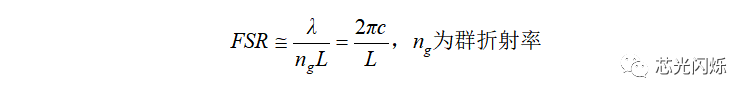
2.1自由光谱范围(Free Spectral Range,FSR)
当微环半径一定时,对应不同的谐振级次,相邻谐振峰的自由光谱范围为:

2.2****品质因子(Q, Quality Factor)
品质因子Q值的定义为中心谐振波长与谐振峰半高全宽的比值,Q值越高,表明器件对波长的选择性越好,输出峰值越陡峭,因此器件的灵敏度越高。

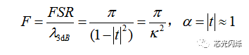
2.3.精细度(Finesse,F)
微环谐振腔的精细度定义为自由光谱范围和3dB带宽的比值,可表示为:

3.传感原理
微环谐振腔的谐振方程:

微环谐振腔进行传感主要是通过待测物质与谐振腔的倏逝波之间的相互作用实现的。待测物质会对微环谐振腔的有效折射率产生影响,进而影响微环谐振腔的谐振波长,通过检测波长的漂移即可检测待测物质的变化信息。